31 January 2026, Volume 46 Issue 1
    

  • Select all
    |
    Review & Monography
  • GONG Xiao-hui, WEI Si-yi, ZHANG Pu-zhao, SHAO Feng
    Chinese Journal of Pharmaceutical Analysis. 2026, 46(1): 1-9. https://doi.org/10.16155/j.0254-1793.2025-0317
    Abstract ( )   Knowledge map   Save
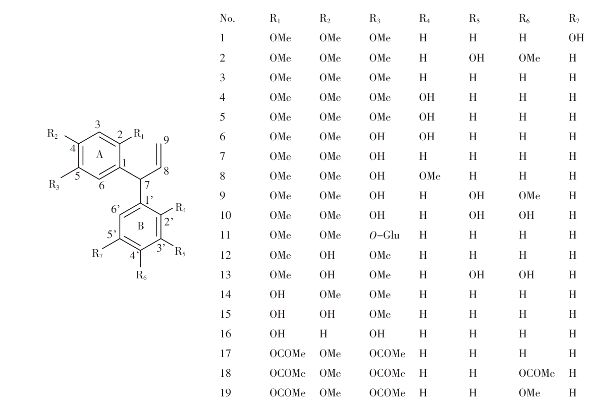
    Dalbergiphenols are a group of characteristic components in plants of Dalbergia, possessing biological activities such as anti-osteoporosis, cardioprotective, antibacterial, antioxidant, and anti-inflammatory properties. This paper analyzes the data from 1H nuclear magnetic resonance (1H-NMR) and 13C nuclear magnetic resonance (13C-NMR) spectra of 19 dalbergiphenols to summarize the patterns of variations between the corresponding chemical shifts and their substituents. This review aims to provide information for the rapid identification of new dalbergiphenols in the future.
  • LI Hua-jin-zi, WANG Ying-yue, GAO Xiao-yan
    Chinese Journal of Pharmaceutical Analysis. 2026, 46(1): 10-17. https://doi.org/10.16155/j.0254-1793.2025-0228
    Abstract ( )   Knowledge map   Save
    Amyloid β-protein is one of the core pathological markers of Alzheimer’s disease. The breakthrough of its blood detection technology is of great significance for the early diagnosis of this disease. This paper systematically reviews the current mainstream detection technologies for amyloid β-protein in blood, focusing on the technical principles, detection performance, and clinical application potential of immunoassay-based methods (ELISA, Simoa, electrochemiluminescence, etc.) and mass spectrometry-based methods. Immunoassay-based methods are dominant because of the simple operation and high throughput, while mass spectrometry-based methods have better performance in specificity, accuracy, and multi-subtype detection. Future development needs to focus on standardized process construction, multi-biomarker joint detection, and miniaturization of detection technologies to promote the clinical application of detection technologies for amyloid β-protein in blood.
  • Ingredient Analysis
  • ZHU Bing, CHEN Lei, YE Yu, CHEN Yu-tian, FANG Ke-er, GE Wei-hong, DU Wei-feng
    Chinese Journal of Pharmaceutical Analysis. 2026, 46(1): 18-25. https://doi.org/10.16155/j.0254-1793.2024-0318
    Abstract ( )   Knowledge map   Save
    Objective: To establish an HPLC method for the simultaneous determination of 13 components (loganic acid, chlorogenic acid, caffeic acid, loganin, sylvestrosideⅠ, isochlorogenic acid B, isochlorogenic acid A, cantleyoside, isochlorogenic acid C, dipsacoside B, dipsacoside A, asperosaponinⅩ, and asperosaponinⅥ) in Dipsaci Radix, and to provide a scientific basis for the quality control of Dipsaci Radix. Methods: An Agilent Zorbax SB-C18 column (250 mm×4.6 mm, 5.0 μm) was employed for gradient elution, with 0.05% phosphoric acid solution(A)-acetonitrile (B) as the mobile phase. The flow rate was 0.8 mL · min-1, the column temperature was 30 ℃, the detection wavelength was 212 nm, and the injection volume was 10 μL. Results: The 13 components showed good linear relationships within the corresponding ranges (r≥0.999 0), with average recoveries from 95.7% to 103.2% and an RSD<2.0%. In the 8 batches of samples, the content ranges of the aforementioned components were 15.92-20.78 mg · g-1, 2.23-10.56 mg · g-1, 0.2-0.47 mg · g-1, 1.64-4.81 mg · g-1, 0.32-0.70 mg · g-1, 0.26-1.19 mg · g-1, 3.32-8.77 mg · g-1, 16.98-43.50 mg · g-1, 2.48-6.35 mg · g-1, 0.29-0.67 mg · g-1, 1.83-4.39 mg · g-1, 21.38-39.84 mg · g-1, and 50.30-102.02 mg · g-1, respectively. Conclusion: The simple and reliable method can be applied for the content determination and quality control of 13 components in Dipsaci Radix.
  • KUANG Guo-jun, LONG Yan-jun, KONG Qi-xian, ZHU Yi-juan, FANG Hai-shun, ZHANG Lei
    Chinese Journal of Pharmaceutical Analysis. 2026, 46(1): 26-35. https://doi.org/10.16155/j.0254-1793.2025-0325
    Abstract ( )   Knowledge map   Save
    Objective: To establish a size exclusion chromatography-multi-angle laser light scattering-refractive index detection (SEC-MALLS-RI) method for determining the absolute molecular weight of polyethylene glycol 3350 (PEG 3350) in polyethylene glycol electrolyte powder (sodium potassium) and to compare its molecular weight characterization differences with the size exclusion chromatography-charged aerosol detection (SEC-CAD) method. Methods: A Shodex Ohpak SB-803 HQ column (300 mm×8.0 mm, 6 μm) was employed with a mobile phase of 0.2 mol · L-1 NaCl at a flow rate of 0.5 mL · min-1 and a column temperature of 30 ℃. The refractive index increment (dn/dc) was set to 0.132 mL · g-1. Results: The dn/dc of PEG remained relatively stable within the molecular weight range of 1 000-6 000, with a mean value of 0.130 9 mL · g-1 (RSD=1.6%). Consistent results were obtained across different solvents (RSD=0.44%). The SEC-MALLS-RI method demonstrated precision and repeatability with RSD values of 0.74% and 0.67% respectively. No significant differences in molecular weight determination were observed under varying temperatures or columns (P>0.05), confirming method robustness. The absolute molecular weight determined by SEC-MALLS-RI was lower than the relative molecular weight obtained via SEC-CAD. However, after calibrating the peak molecular weight (Mp) of PEG reference standards using SEC-MALLS-RI for column volume correction, no significant difference was observed between relative and absolute molecular weight results (P>0.05). Conclusion: The SEC-MALLS-RI method eliminates dependence on molecular weight reference standards, simplifies operations, and ensures stability. When using SEC-MALLS-calibrated reference standards in conventional GPC methods, the results of relative molecular weights were closely approximate to the absolute molecular weights.
  • LI Ping, CHEN Hong, ZHENG Ping, XIE Li
    Chinese Journal of Pharmaceutical Analysis. 2026, 46(1): 36-45. https://doi.org/10.16155/j.0254-1793.2025-0155
    Abstract ( )   Knowledge map   Save
    Objective: To establish a gas chromatography (GC) method for determining the content of transdermal penetration enhancers in commercially available indomethacin transdermal preparations. Methods: A quartz capillary column (Agilent INNOWAX, 30 m×0.53 mm, 1 μm) and a programmed temperature rising mode were adopted to achieve chromatographic separation. The direct solution injection volume was 1 μL, and the split ratio was set at 1 ∶ 1. The inlet temperature was 240 ℃, and the flame ionization detector (FID) temperature was 250 ℃. Results: Methodvalidation showed that the resolution between the seven analytes (isopropanol, propylene glycol, dimethyl sulfoxide, menthol, diisopropyl adipate, isopropyl myristate, and laurocapram) was all greater than 1.5, and their determination was not interfered by the solvent. Within the proposed concentration ranges, a good linear relationship was observed between the analyte concentration and the response peak area (r>0.999). The spiked recovery rates ranged from 95.0% to 105.0%, and the relative standard deviation (RSD, n=6) of sample determination repeatability was less than 3%. The transdermal penetration enhancers indicated in the instruction manuals were detected in all 22 batches of commercial samples from 8 enterprises. For ointments from Enterprise H, the RSDs (n=3) of the content of two transdermal penetration enhancers were greater than 6%, which was higher than that from other enterprises. In addition, the detected amount of dimethyl sulfoxide was 167%-189% of the prescribed amount. Conclusion: Enterprise H needs to strengthen the refined control of the production process. The GC method established in this study improves the quality standard of indomethacin transdermal preparations and provides a scientific basis for enhancing the efficiency of drug supervision.
  • Bioassay
  • XU Mei-feng, MAO Qi-qi, LI Mao-guang, WANG bin
    Chinese Journal of Pharmaceutical Analysis. 2026, 46(1): 46-55. https://doi.org/10.16155/j.0254-1793.2025-0419
    Abstract ( )   Knowledge map   Save
    Objective: To apply proton Nuclear Magnetic Resonance (1H-NMR) combined with multivariate statistical analysis for quality assessment of capsular polysaccharides from Neisseria meningitidis serogroups A, C, Y, and W135, providing a scientific foundation for quality assessment and control of meningococcal vaccines. Methods: Capsular polysaccharide samples of meningococcal serogroups A, C, Y, and W135 from multiple batches of different origins were analyzed. Polysaccharide solutions were prepared at a concentration of 3 mg · mL-1, and the PRESAT pulse sequence was employed to acquire 1H-NMR data. The NMR spectra in the δ 6-0.6 region were subjected to segment integration at intervals of 0.01, yielding 540 integral bins for discriminant analysis and similarity analysis. For difference analysis, segmented integration was performed at intervals of 0.1, resulting in 55 integral bins. Results: The results confirmed that the capsular polysaccharides of each Neisseria meningitidis serogroup exhibited characteristic 1H-NMR spectra. The PCA distribution patterns based on 1H-NMR data were highly consistent with polysaccharide structures, indicating that the 1H-NMR spectral fingerprints can be used to differentiate serogroups. Furthermore, both PCA and similarity analysis demonstrated high consistency in evaluating batch-to-batch variability and process stability, with highly correlated samples clustering closely in PCA score plots. Difference analysis revealed that key variables contributing to sample variations included O-acetylation sites, O-acetylation levels, and residual process-related impurities. Conclusion: 1H-NMR can serve as a key technique for quality control in meningococcal vaccine production, including identification of different monovalent polysaccharides and antigen components in vaccine formulations. Additionally, NMR combined with statistical analysis provides precise quantitative indicators for process stability evaluation, supporting product monitoring and release decisions. This approach holds significant value for vaccine quality assurance.
  • ZHANG Jia-ning, LI Meng, YE Xiao, CUI Chun-bo, DU Jia-liang, YU Chuan-fei, WANG Lan, LIU Ying
    Chinese Journal of Pharmaceutical Analysis. 2026, 46(1): 56-63. https://doi.org/10.16155/j.0254-1793.2025-0169
    Abstract ( )   Knowledge map   Save
    Objective: To establish reversed-phase high-performance liquid chromatography (RP-HPLC) and dual-wavelength size exclusion high-performance liquid chromatography (SE-HPLC) methods for effectively analyzing the conjugation status of simulated deconjugated antibody-drug conjugate (ADC) formulations, and to combine these methods with ultraviolet (UV) spectrophotometry for protein concentration determination, aiming to meet the requirements of formulation analysis. Methods: Group A formulations simulating partially deconjugated ADC were prepared by physically mixing intact ADC, small-molecule drug, and antibody. Corresponding control Group B formulations, without simulated deconjugation but with matched total antibody and total small-molecule drug concentrations, were also prepared. A UV spectrophotometric method was established to measure absorbance of Group A and B formulations at 252 nm and 280 nm. The drug-to-antibody ratio (DAR) was calculated according to the Beer-Lambert law to reflect the total antibody concentration and conjugation status. An RP-HPLC method was developed by gradient elution through a Zorbax Ellipse XDB-C18 column (50 mm×2.1 mm, 3.5 μm) at 35 ℃ with 0.1% trifluoroacetic acid in water as mobile phase A and 0.08% trifluoroacetic acid in acetonitrile as mobile phase B at the flow rate of 0.5 mL · min-1, autosampler temperature of 5 ℃, and detection wavelength of 252 nm. This method was used to detect free small molecules generated from deconjugation, indirectly analyzing the conjugation status of ADC. A dual-wavelength SE-HPLC method was established by elution through a TSK G3000SWXL gel column (7.8 mm×30 cm, 5 μm) with the mobile phase consisting of 15% isopropanol and 85% phosphate buffer (0.2 mol · L-1 potassium phosphate, 0.25 mol · L-1 potassium chloride, pH 7.0) at room temperature, the flow rate of 0.5 mL · min-1, autosampler temperature of 5 ℃, and detector wavelengths of 252 nm and 280 nm. This method was used to directly calculate the DAR of ADC formulations by measuring the corresponding peak areas. Results: The total antibody concentrations in Group A and B formulations determined by UV spectrophotometry (n=3) were 5.14 mg · mL-1 and 5.04 mg · mL-1, respectively, with corresponding DAR values (n=3) of 3.45±0.03 and 3.47±0.02. The RP-HPLC method effectively detected the simulated free small molecules in Group A formulations, which were absent in Group B. The DAR values determined by dual-wavelength SE-HPLC for Group A and B formulations were 1.83 and 3.65, respectively. Conclusion: UV spectrophotometry can accurately determine the antibody concentration in this simulated deconjugated ADC formulation but cannot effectively determine its conjugation status. RP-HPLC can detect free small molecules in this simulated deconjugated formulation, indirectly proving the occurrence of simulated deconjugation. Dual-wavelength SE-HPLC can effectively and accurately determine the conjugation status of this simulated deconjugated formulation. Its combination with UV spectrophotometry for protein concentration determination shows promise in meeting the requirements of formulation analysis.
  • Activity Analysis·Metabolism Analysis
  • LIANG Yan, CHEN Xiao, ZHEN Xiao-lan, LIU Ya-nan, PENG Jiang-ning, LI Hui
    Chinese Journal of Pharmaceutical Analysis. 2026, 46(1): 64-88. https://doi.org/10.16155/j.0254-1793.2025-0084
    Abstract ( )   Knowledge map   Save
    Objective: To develop a rapid analytical method for simultaneous quantification of 41 endogenous small-molecule metabolites in the serum of hepatocellular carcinoma patients, thus achieving the simultaneous quantification of biomarkers in large-sample cohorts and revealing the metabolite-disease associations. Methods: Biological samples were treated with 200 μL of a supramolecular solvent. The 41 endogenous small-molecule metabolites were separated through a Waters ACQUITY UPLC BEH C18 column (100 mm×2.1 mm, 1.7 µm) by gradient elution with the mobile phase composed of methanol and 5 mmol · L-1 aqueous ammonium acetate. Detection was carried out in positive-ion and negative-ion modes, respectively. Results: The limits of quantification (LOQ) were determined to be 5-50 ng · mL-1. Linear correlation coefficients (r) were all greater than 0.995. Recoveries ranged from 85.0% to 110.8%, with relative standard deviations (RSDs)≤9.2%. The entire chromatographic analysis was completed within 18 min. Significant differences in levels of multiple metabolites were observed between the hepatocellular carcinoma (HCC) patient group and the healthy control group. Additionally, specific metabolites such as L-aspartic acid and prostaglandin E2 showed similar distribution patterns between groups. Conclusion: The method demonstrates satisfactory recovery, precision, accuracy, and stability, meeting the requirements for composite analysis of biological samples. It enables the simultaneous detection of 41 endogenous small-molecule metabolites. In actual sample testing, hepatocellular carcinoma patients exhibit significant metabolic disorders, particularly in bilirubin, fatty acid, and certain amino acid metabolic pathways. These characteristics may provide potential directions for the research on biomarkers in hepatocellular carcinoma.
  • ZHANG Yu-ru, MENG Xue, ZHANG Hong, WANG Di, ZHANG Yu, CHEN Juan
    Chinese Journal of Pharmaceutical Analysis. 2026, 46(1): 89-100. https://doi.org/10.16155/j.0254-1793.2025-0255
    Abstract ( )   Knowledge map   Save
    Objective: To study the correlation between fingerprint and antioxidant activity of Smilacis Chinae Rhizoma and to clarify the active ingredient group of Smilacis Chinae Rhizoma with antioxidant effect. Methods: An Agilent 5 TC-C18 (2) (250 mm×4.6 mm, 5 μm) chromatographic column was used with methanol-0.05% phosphoric acid aqueous solution as the mobile phase for gradient elution. The elution was carried out with the flow rate of 0.8 mL · min-1, the detection wavelength of 295 nm, the column temperature of 30 ℃, and the injection volume of 10 μL. The HPLC fingerprints of Smilacis Chinae Rhizoma samples were established and evaluated for the similarity, and the common peaks were identified. At the same time, hierarchical cluster analysis (HCA) and principal component analysis (PCA) were performed. The antioxidant activities of 29 batches of Smilacis Chinae Rhizoma were evaluated by the 2,2-diphenyl-1-picrylhydrazyl (DPPH) and 2,2-azino-bis (3-ethyl-benzothiazoline-6-sulfonic acid) diammonium salt (ABTS) free radical scavenging methods. Grey relational analysis (GRA) and partial least squares regression (PLSR) were employed to analyze the fingerprint-effect relationship. Results: The HPLC fingerprint similarity of 29 batches of Smilacis Chinae Rhizoma ranged from 0.784 to 0.996, and a total of 23 common peaks were identified, 12 of which were confirmed by comparison with reference substances. The samples were clustered into 3 categories by HCA and PCA. The 29 batches of samples had different degrees of antioxidant capacity. GRA and PLSR results showed that peaks 6, 10, 11, 12, 13, 15, and 18 were the main common characteristic peaks. Through comparison with the reference substances, peaks 6, 10, 11, 12, 13, and 15 were identified as chlorogenic acid, polydatin, oxyresveratrol, neobastilin, astilin, and resveratrol, respectively. Further in vitro antioxidant activity evaluation and fingerprint-effect correlation analysis indicated that these compounds (especially the flavonoids and stilbenes) were the key pharmacological substances responsible for the antioxidant effect of Smilacis Chinae Rhizoma. Conclusion: The antioxidant effect of Smilacis Chinae Rhizoma is the result of the synergistic effect of multiple components. The compounds corresponding to chromatographic peaks 6, 10, 11, 12, 13, 15 and 18 may be the main active components of Smilacis Chinae Rhizoma to exert antioxidant effects.
  • Safety Monitoring
  • ZHANG Lian-yi, LI Wen-xin, YANG Shu-juan, LI Lin, WANG Wen-xin, GUO Chang-chuan, NIU Chong, XU Yu-wen
    Chinese Journal of Pharmaceutical Analysis. 2026, 46(1): 101-105. https://doi.org/10.16155/j.0254-1793.2025-0236
    Abstract ( )   Knowledge map   Save
    Objective: To establish a high-performance liquid chromatography-mass spectrometry (HPLC-MS) method for detection of the genotoxic impurity N-nitroso-desethyl-lidocaine in lidocaine hydrochloride and its injections. Methods: Chromatographic separation was achieved on a Capcell Pak C18 column (150 mm×4.6 mm, 5 μm) through a gradient elution program with ammonium acetate solution-acetonitrile as the mobile phase at the flow rate of 1.0 mL · min-1, the injection volume of 2 μL, and the column temperature of 30 ℃. A heated electrospray ionization (HESI) source was employed in the negative ion mode with selected ion monitoring (SIM) at m/z 234.3 for detection. Results: A good linear relationship was observed for N-nitroso-desethyl-lidocaine concentration in the range of 0.212-4.232 ng · mL-1 with peak area (r=1.000). The limit of quantification (LOQ) and limit of detection (LOD) were determined to be 0.077 ng · mL-1 and 0.025 ng · mL-1, respectively. The mean recovery rates (n=9) were 101.2% (RSD=0.85%) for the active pharmaceutical ingredient and 99.1% (RSD=0.95%) for the injections. The impurity was detected in three batches of the raw material at levels ranging from 3 to 4 ng · g-1, while it was not detected in any of the three injection batches. All results were within the acceptable limits. Conclusion: The developed method is highly sensitive and specific and can be employed for accurate detection of the genotoxic impurity N-nitroso-desethyl-lidocaine in the raw material and injections of lidocaine hydrochloride, thereby ensuring medication safety for patients.
  • ZHANG Hong, ZHANG Jia-chen, WANG Hong-yang, ZHU Wen-he, LI Ya-wei
    Chinese Journal of Pharmaceutical Analysis. 2026, 46(1): 106-112. https://doi.org/10.16155/j.0254-1793.2025-0179
    Abstract ( )   Knowledge map   Save
    Objective: To establish an efficient, accurate, and sensitive method for detecting animal-derived Chinese medicinal materials. Methods: The loop-mediated isothermal amplification (LAMP) primers were designed based on the Cytochrome b gene sequences of Bungarus Parvus, Agkistrodon, and Zaocys. The genes were amplified and connected to the vector pUC57 for the construction of recombinant plasmids, and the visual LAMP detection systems were established. By establishing a temperature gradient ranging from 62 ℃ to 66 ℃, it was determined that 62 ℃ was the optimal temperature for Bungarus Parvus, Agkistrodon, and Zaocys. The sensitivity and specificity of PCR and LAMP methods were compared. The optimal LAMP system for the detection of commercially available snake-derived Chinese medicinal materials was selected. Results: A LAMP system was established for detecting Bungarus Parvus, Agkistrodon, and Zaocys. The system achieved direct visual detection after reaction at 62 ℃ for 40 min. The sensitivity of the LAMP method for detecting Bungarus Parvus, Agkistrodon, and Zaocys was 400 copies · μL-1, 4 copies · μL-1, and 4 copies · μL-1, respectively. Specificity test results indicated that the established LAMP system can specifically detect target snake-derived Chinese medicinal materials and can be used for the detection of commercially available products. Conclusion: The LAMP system established in the experiment has the advantages such as simple operation, high sensitivity, and short time consumption, which can provide a reference for the visual detection of animal-derived Chinese medicinal materials in primary-level medical institutions.
  • ZHANG Xiao-yan, WANG Wen-li, ZHANG Yu-juan, WANG Xiao-jing, SUN Ying
    Chinese Journal of Pharmaceutical Analysis. 2026, 46(1): 113-126. https://doi.org/10.16155/j.0254-1793.2025-0338
    Abstract ( )   Knowledge map   Save
    Objective: To establish an HPLC method with correction factors and principal component self-control for the determination of related substances in lappaconite hydrobromide and its preparations, and to investigate the impurity profiles of raw materials and preparations produced by different manufacturers. Methods: An Omni Orca-C18 column (250 mm×4.6 mm, 5 μm) was used with a mobile phase consisting of 0.04 mol · L-1 potassium dihydrogen phosphate solution, methanol, and acetonitrile (68 ∶ 17 ∶ 15) at a flow rate of 1.0 mL · min-1. The detection wavelength was set at 252 nm, the column temperature at 35 ℃, and the injection volume at 20 μL. Calibration curves for lappaconite hydrobromide and two impurities were established, and relative correction factors were calculated from the slopes. Impurities in the samples were further collected and confirmed using a Waters H-Class UPLC fraction collector. Results: Good separation was achieved between lappaconite hydrobromide and nine other alkaloids. Based on production process information and forced degradation tests, two known impurities and seven unknown impurities in the API and preparations were identified. The relative retention times of N-deacetyllappaconitine and ranaconitine were 1.24 and 1.38, with correction factors of 1.31 and 1.38, respectively. Lappaconite hydrobromide, N-deacetyllappaconitine, and ranaconitine showed good linearity with peak area over the ranges of 1.054-31.62 μg · mL-1, 1.000-30.00 μg · mL-1 and 1.031-30.93 μg · mL-1, respectively (r>0.999 9). Additional determinations for sinomontanine H, isolappaconitine, and 9-deoxylappaconitine were carried out following impurity identification. Related substances in 115 batches of preparations were determined using the established method. The contents of the six impurities (sinomontanine H, isolappaconitine, 9-deoxylappaconitine, ranaconitine, N-demethylated lappaconitine,and impurity 4) were all less than 2.0%. Conclusion: The validated method is simple, rapid, and suitable for accurate determination of related substances in lappaconite hydrobromide preparations. The analysis indicates a wide variety of process-related impurities, with sinomontanine H and N-deacetyllappaconitine being relatively abundant. In addition, the degradation impurity content in injections is too high. In order to reduce the potential safety risks in the quality standard which indicates that revision of the current standards to include related substances testing is necessary.
  • LI Xu, HUI Fan-jing, XIAO Chao-qiang, WANG Xu
    Chinese Journal of Pharmaceutical Analysis. 2026, 46(1): 127-136. https://doi.org/10.16155/j.0254-1793.2025-0505
    Abstract ( )   Knowledge map   Save
    Objective: To establish an efficient and accurate method for the detection of related substances in fluticasone propionate inhalation aerosol, aiming to address the problems of long detection cycle and insufficient impurity separation efficiency in current standards. Methods: An ACQUITY ultra-high performance liquid chromatography (UPLC) BEH C18 column (100 mm×2.1 mm, 1.7 μm) was adopted for gradient elution with 0.05% phosphoric acid aqueous solution and acetonitrile as the mobile phase, at a flow rate of 0.60 mL · min-1, a detection wavelength of 239 nm, and a column temperature of 35 ℃. The area normalization method was employed for impurity quantification. Results: Baseline separation between the principal component and 12 known impurities was achieved within 13 minutes, with no interference from the diluent and excipients. The limits of quantification (LOQ) for 6 known impurities ranged from 0.02% to 0.04%, showing good linearity (r≥0.999). The average recoveries were 90% to 110% (RSD<5%). The method remained robust against slight variations in column temperature, flow rate, phosphoric acid content in the mobile phase A, and column. After 30 d of stress testing at 50 ℃, the content of impurity CCI18771 in the samples increased from 0.02% on day 0 to 0.08% on day 30, and impurity GR112801X increased from 0.02% on day 0 to 0.12% on day 30, while no significant changes were observed among other impurities. Conclusion: The UPLC method developed in this study significantly shortens the detection cycle (from 70 min to 13 min) and improves separation efficiency, solving the difficulties in the system suitability test of the original standard. It provides a technical reference for the quality control, stability monitoring, and pharmacopoeia standard revision of fluticasone propionate inhalation aerosol.
  • SHI Li-juan, JIANG Yu-juan, CHENG Guan-jun, WANG Li, LI Hui, LIU Yi-xuan, WANG Hai-na
    Chinese Journal of Pharmaceutical Analysis. 2026, 46(1): 137-142. https://doi.org/10.16155/j.0254-1793.2025-0134
    Abstract ( )   Knowledge map   Save
    Objective: To establish a liquid-liquid extraction-gas chromatography method for determining the content of ethyl cyanoacetate in tofacitinib citrate crude. Methods: The tofacitinib citrate crude was dissolved in 0.2 mol · L-1 hydrochloric acid solution and extracted by dichloromethane through an Agilent DB-624 (30 m× 0.32 mm, 1.80 µm) capillary column. The heating procedure was as follows: the initial temperature was 50 ℃ and maintained for 5 min, and then the temperature was elevated to 200 ℃ at a rate of 20 ℃ · min-1 and maintained for 5 min. The column flow rate was 3 mL · min-1, and the detector and inlet temperatures were 250 ℃ and 220 ℃, respectively. The carrier gas was nitrogen, and the injection volume was 1 µL. Split injection was adopted at the ratio of 10 ∶ 1. The calculation was conducted with the external standard method. Results: Dichloromethane did not interfere with the detection of ethyl cyanoacetate. Ethyl cyanoacetate showed good linearity (r=0.999 3) between peak area and concentration within the range of 9.783-195.654 µg · mL-1. The limit of detection (LOD) was 2.935 µg · mL-1, and the limit of quantification (LOQ) was 9.783 µg · mL-1. The average spiked recovery rate (n=9) was 98.1%, with a RSD of 1.9%. The content of ethyl cyanoacetate in 3 batches of tofacitinib citrate crude was 0.15%, 0.16%, and 0.14%. Conclusion: The method, with simple pretreatment and accurate results, can be used to determine ethyl cyanoacetate in tofacitinib citrate crude.
  • LI Wan-jie, LI Dan, LE Jian, JIN Wei
    Chinese Journal of Pharmaceutical Analysis. 2026, 46(1): 143-149. https://doi.org/10.16155/j.0254-1793.2025-0158
    Abstract ( )   Knowledge map   Save
    Objective: To establish a supercritical fluid chromatography (SFC) method for separating vildagliptin and its R-isomer. Methods: Elution was conducted through silica-coated cellulosic tris (3,5-dimethylphenyl carbamate) column (Welch Ultimate Cellu-D, 250 mm×4.6 mm, 5 μm) with supercritical carbon dioxide-methanol (containing 0.2% diethylamine and 0.2% trifluoroacetic acid) (90 ∶ 10) as the mobile phase at the flow rate of 1.5 mL · min-1, the back pressure of 15 MPa, the column temperature of 40 ℃, and the detection wavelength of 205 nm. Results: R-isomer and vildagliptin were eluted in sequence with a resolution factor of 2.7. The mass concentrations of vildagliptin and its R-isomer showed good linear relationships (r=0.999 9, n=6) with peak areas within the range of 12-160 μg · mL-1. The limits of quantitation and detection were 9 μg · mL-1 and 3 μg · mL-1, respectively. For the active pharmaceutical ingredient (API), the spiked recovery rates of the R-isomer at four concentrations from low to high were 101.8%, 99.1%, 102.6%, and 102.1%, with corresponding relative standard deviations (RSD, n=3) of 5.0%, 4.3%, 4.2%, and 2.3%, respectively. The average spiked recovery rate was 101.4% (RSD=3.9%, n=12). For the tablets, the spiked recovery rates of the R-isomer at four concentrations from low to high were 96.3%, 94.5%, 92.7%, and 94.6%, with corresponding RSD (n=3) of 4.9%, 4.2%, 2.6%, and 2.3%, respectively. The average recovery rate was 94.5% (RSD=3.5%, n=12). No R-isomer was detected in three batches of the APIs or in three batches of tablets. Conclusion: The developed SFC method is efficient, environmentally friendly, with high accuracy and reproducibility. It is suitable for quality control of the R-isomer in the API and pharmaceutical preparations of vildagliptin.
  • Standard Deliberation
  • YANG Lei, QI Wen-yuan, XUE Wei, LI Ke-xin
    Chinese Journal of Pharmaceutical Analysis. 2026, 46(1): 150-155. https://doi.org/10.16155/j.0254-1793.2025-0301
    Abstract ( )   Knowledge map   Save
    This paper discussed the application of proficiency testing, inter-laboratory comparisons, and measurement audits in external quality control for bioanalytical laboratories involved in drug clinical trials, aiming to provide theoretical support for laboratories to select appropriate external quality control methods. During the research process, literature analysis and method comparison were employed to systematically compare the definitions, implementation procedures, advantages, and disadvantages of these three approaches. Meanwhile, corresponding recommendations were proposed combining with the actual status of clinical bioanalysis in China and the requirements of ISO/IEC 17025 accreditation. The study yielded the following Results: Proficiency testing exhibited a high degree of standardization and authority, making it suitable for periodic proficiency assessments. However, its implementation frequency was low, and its flexibility was somewhat lacking. Inter-laboratory comparisons offered greater freedom and were suitable for method equivalence studies. However, the reliability of their results was easily affected by the differences in quality control products and analytical methods. Measurement audits were fast and highly flexible, suitable for confirming the competence of individual laboratories. However, the reliability of their results depended on the accuracy of the specified values, and there was a lack of horizontal comparability across different laboratories. In China, proficiency testing has developed rapidly. However, in the field of bioanalytical testing, current practices still primarily focus on small-molecule chemical drugs. The domain of macromolecule drugs faces technical challenges such as the scarcity of reference standards and methodological complexity. Based on the above research, it is concluded that laboratories should select proficiency testing, inter-laboratory comparisons, or measurement audits according to their own testing needs. Meanwhile, it is also recommended that regulatory authorities strengthen the development of proficiency testing systems for macromolecule drugs, promote innovations in macromolecule testing technologies, and thereby meet the growing testing demands arising from the rapid development of biological products.
  • ZHU Xiao-yue, ZHANG Shu-dong, ZHU Xue-bin, WU Zhao-wei, WU Bin, ZHENG Jie, WANG Shan, ZHANG Zhe
    Chinese Journal of Pharmaceutical Analysis. 2026, 46(1): 156-165. https://doi.org/10.16155/j.0254-1793.2025-0353
    Abstract ( )   Knowledge map   Save
    Objective: To establish the method for the determination of 9 impurities in tiapride hydrochloride materials and tablets by HPLC, which would be made up for the defects of the current method. To evaluate the qualities of the replicas and the reference preparation about impurity types, sources and contents. And to clarify the methods for reducing the main impurities in samples. Methods: Waters Xbridge C18 chromatography column (250 mm×4.6 mm, 5 μm) was used. 0.1% ammonia solution was used as the mobile phase A, and methanol was used as the mobile phase B. Gradient elution was performed . 1.0 mL · min-1 was used as the flow rate. 35 ℃ was used as the column temperature. 240 nm was used as the detection wavelength. 10 μL was used as the injection volume. Results: Mass concentrations of linear range of tiapride and each impurity were from 0.1 to 10 μg · mL-1 (r>0.999 9). LOQ was in range of 0.054-0.103 μg · mL-1, and LOD was in range of 0.015-0.031 μg · mL-1. The solutions of tiapride and each impurity were stable in 24 h. The structure of tiapride hydrochloride was stable. In fact, the impurity D was the most probably degrade impurity, and the 8 impurities were process impurities. The content of newfound process impurity H was the maximal in samples of 133 batches. The content of impurities were basically same between the replicas and the reference preparation. Conclusion: The established method about the related substances determination by HPLC is simple, accurate, sensitive and efficient. The results of the samples in national drug sampling and testing is indicating that the level of impurities controlling in the replicas is good as the reference preparation. The content of main impurities in materials and preparations can be reduced by improving the API synthesizing. The study is providing the strong technical support for scientific supervision in tiapride hydrochloride and its preparations.
  • CUI Ying-xin, SUN Yi-shu, ZHANG Ye, YE Xiao-xia, LE Jian
    Chinese Journal of Pharmaceutical Analysis. 2026, 46(1): 166-172. https://doi.org/10.16155/j.0254-1793.2025-0136
    Abstract ( )   Knowledge map   Save
    Objective: To establish a Franz diffusion cell-based in vitro release testing (IVRT) method for ketoprofen gel and to compare the consistency of in vitro release behaviors between the test formulations and the reference formulation. Methods: A Franz diffusion cell system was employed, with normal saline used as the release medium. A 0.45 μm nylon artificial membrane was selected. The stirring speed was set at 400 r · min-1 and the temperature was maintained at 32 ℃. Samples were collected at 0.5, 1, 2, 3, 4, and 6 h with a sampling volume of 12 mL. The released amount of ketoprofen was determined by high-performance liquid chromatography (HPLC) using a Diamonsil Plus column (150 mm×4.6 mm, 5 μm). The mobile phase consisted of phosphate buffer (prepared by dissolving 68.0 g of potassium dihydrogen phosphate in water and diluting to 1 000 mL, with pH adjusted to 3.5±0.1 with phosphoric acid), acetonitrile, and water (2 ∶ 43 ∶ 55). The detection wavelength was set at 255 nm, the flow rate was 1.0 mL · min-1, and the column temperature was maintained at 45 ℃. Statistical analysis was performed using the Mann-Whitney U test. Results: The established method showed good precision, reproducibility, and robustness. The 90% confidence intervals of the ratios of release rates for test formulation T1 and test formulation T2 compared with the reference formulation were 97.1%-104.7% and 61.75%-67.23%, respectively. Test formulation T1 was equivalent to the reference formulation in release rate, whereas test formulation T2, with a higher drug content, exhibited a lower release rate and a longer duration of drug release. Conclusion: The established Franz diffusion cell-based IVRT method is suitable for evaluating differences in the in vitro release behavior of ketoprofen gel and provides a reference for quality evaluation of gel formulations using the Franz diffusion cell technique.
  • Quality Control
  • LIU Wen-li, LI Ling-xi, NIE Li-xing, KANG Shuai, WEI Feng
    Chinese Journal of Pharmaceutical Analysis. 2026, 46(1): 173-186. https://doi.org/10.16155/j.0254-1793.2025-0305
    Abstract ( )   Knowledge map   Save
    Objective: To identify the chemical constituents in the leaves of in Perilla Folium with both surfaces purple, Perilla Folium with upper surface green and the lower surface purple, and Perilla Folium with both surfaces green and to investigate their correlation with leaf color by ultra-performance liquid chromatography-quadrupole-electrostatic field Orbitrap mass spectrometry (UHPLC-Q Exactive Orbitrap MS/MS). Methods: UHPLC was performed on a Waters AtlantisTM Premier BEH C18 column (100 mm×2.1 mm, 1.7 μm), with the mobile phase of 0.05% formic acid aqueous solution-0.05% formic acid acetonitrile solution in a gradient elution at a column temperature of 40 ℃, the flow rate of 0.3 mL · min-1; the mass spectrometry was performed in the mode of electrospray ionization with the positive and negative ion detection. Data acquisition was carried out in the scanning range of m/z 100-1 000, and the detected components were comprehensively identified by analyzing the mass spectrometry data in combination with the fragmentation cleavage mode and comparing the results with the existing databases, relevant literature and standard controls. Differences in Perilla Folium of different leaf colors were analyzed by partial least squares-discriminant analysis (PLS-DA). Pearson correlation analysis was conducted to examine the relationship between the chemical composition and the color values of the leaves. Results: A total of 39 chemical constituents were identified from Perilla Folium with different leaf colors. A total of 19 key differential components with VIP values>1 were screened by PLS-DA modeling, including coumarin, vanillic acid, and luteloin-7-O-diglucuronide. The mean values (R-values) of the red image element components were strongly and positively correlated with coumarin, wild scutellarein-7-O-diglucuronide, and luteloin-7-O-diglucuronide. Conclusion: The study screened the index components of Perilla Folium with different leaf colors, revealed the correlation between chemical components and leaf colors, and can provide scientific basis for the quality control and evaluation of medicinal Perilla Folium.
  • QU Jia, LIU Guan-ke, AN Jie, NIU Chen-jin, WANG Jing
    Chinese Journal of Pharmaceutical Analysis. 2026, 46(1): 187-195. https://doi.org/10.16155/j.0254-1793.2025-0062
    Abstract ( )   Knowledge map   Save
    Objective: To establish an atomic absorption spectrometry (AAS) method for the determination of Calcium (Ca) element and an ion chromatography (IC) method for the determination of sulfate ion (SO42-) targeting the gypsum content in Xiebai Syrup based on the principles of traditional Chinese medicine (TCM) quality consistency evaluation. Additionally, to analyze the test results, propose optimization suggestions, and provide scientific support for the quality control and supervision of gypsum content in Xiebai Syrup. Methods: For AAS, a Calcium hollow cathode lamp was used as the light source, and an air-acetylene flame atomizer was employed. The detection wavelength was 422.7 nm, and a lanthanum chloride solution was adopted as the ionization inhibitor. Samples were digested with nitric acid prior to injection and determination. For IC, a Dionex IonPAC AS11-HC analytical column (250 mm×4 mm, 9 μm) was utilized, with a Dionex IonPAC AG11-HC guard column (50 mm×4 mm, 13 μm), and a 20 mmol · L-1 KOH solution was used as the eluent. The flow rate was 1.0 mL · min-1, and the column temperature was 35 ℃. The suppression current was 50 mA. Results: A good linear relationship was exhibited by Ca in the concentration range of 0.2-5 μg · mL-1, with a correlation coefficient (r) of 0.999 8. The average recovery rate was determined to be 100.4%, with the relative standard deviation (RSD) of 2.0%. For SO42-, an excellent linearity was achieved in the concentration range of 0.067-200 μg · mL-1, with a correlation coefficient (r) of 0.999 9. The average recovery rate was 102.5%, and the RSD was 2.3%. The Ca content in 84 batches of Xiebai Syrup was distributed in the range of 0.89-4.16 mmol · L-1, while the SO42- content ranged from 0.98 to 4.34 mmol · L-1. The molar concentration ratio of the two ions was found to be close to 1 ∶ 1 in all tested samples. Significant differences in gypsum content were observed among Xiebai Syrup products from different manufacturers. Conclusion: AAS and IC can be used for the separate determination of Ca and SO42- contents in Xiebai Syrup, providing scientific support for the supervision of gypsum feeding in the production of Xiebai Syrup. Through the determination of 84 batches of samples, significant differences in gypsum content are observed among the samples, which is related to various factors such as raw material feeding and production processes. Subsequent studies will further investigate quality control in combination with clinical efficacy to standardize the standards and evaluation system for Xiebai Syrup.